Consider a triangle ABC as shown below:

First the altitude h from the vertex opposite c is constructed.

Now side c is divided into two sections, one of length x and the other of length c - x as shown.

We can use the Pythagorean theorem to find h in terms of a, b, x, and y.
For the different parts of the triangle, we have that:
(1) ![]()
(2)
and
(3)
by construction
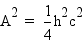
Considering that the area =
, then
the area squared =
, so
.
Rearranging equation (3) and substituting into equation (2) yields the following result:
![]()
Subtracting this result from equation (1) yields:
![]()
Rearranging equation (1) and multiplying through by
yields
the following:
which factors into
where
gives
the following:
which can be rearranged to yield:![]()
Since
, this equation becomes:
![]()
Factoring out the two's and dividing on both sides results in this equation:

Taking the square root of both sides results in Heron's formula for the area of a triangle: