Today we will be looking at polar equations. The first question you may be asking yourself is how do we move from the from Cartesian to polar coordinates?
1) Starting with a Cartesian coordinate system, we choose O (a fixed point) and call it a pole and we name the x-axis as polar-axis.
2) The Cartesian coordinates of a point P are (x,y).
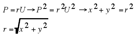
3) Next, we take a point P. On the line OP we choose an axis u. Choose the u-axis such that r > 0. Then:


With that out of the way, let us begin are investigation of:
![]()
Remember...

Let a=1, b=1, k=1.

Let a=2, b=2, k=5. Notice that when k=5 we get 5 pedals

Let a=2, b=2, k=7. Here we have 7 pedals. It kinda reminds me of springtime!

Let a=2, b=2, k=10. Yes, we've got 10 pedals.

All right, now we hold k and a constant and let b = 3,5,7,9. Notice that the larger the values of b become the pedals are larger!


What about when we hold k and b constant and let a vary? Whoa! We no longer have pedals! As a increases the graph becomes more and more "stretched out."


Our next graph illustrates that when k is an odd number we have exactly k number of pedals, but when k is even we get 2k pedals! Madness, you say?


Here is another example of varying b. Again we see that as b increases the pedal get larger.


From our previous graph we replace sin for cos !!!

The pedals are the same size but they've moved! Why?

Difference is how we defined our t-values (i.e. our theta values)

As a tear flows from my cheek like a dewdrop falls from a lotus flower, I must say goodbye.